
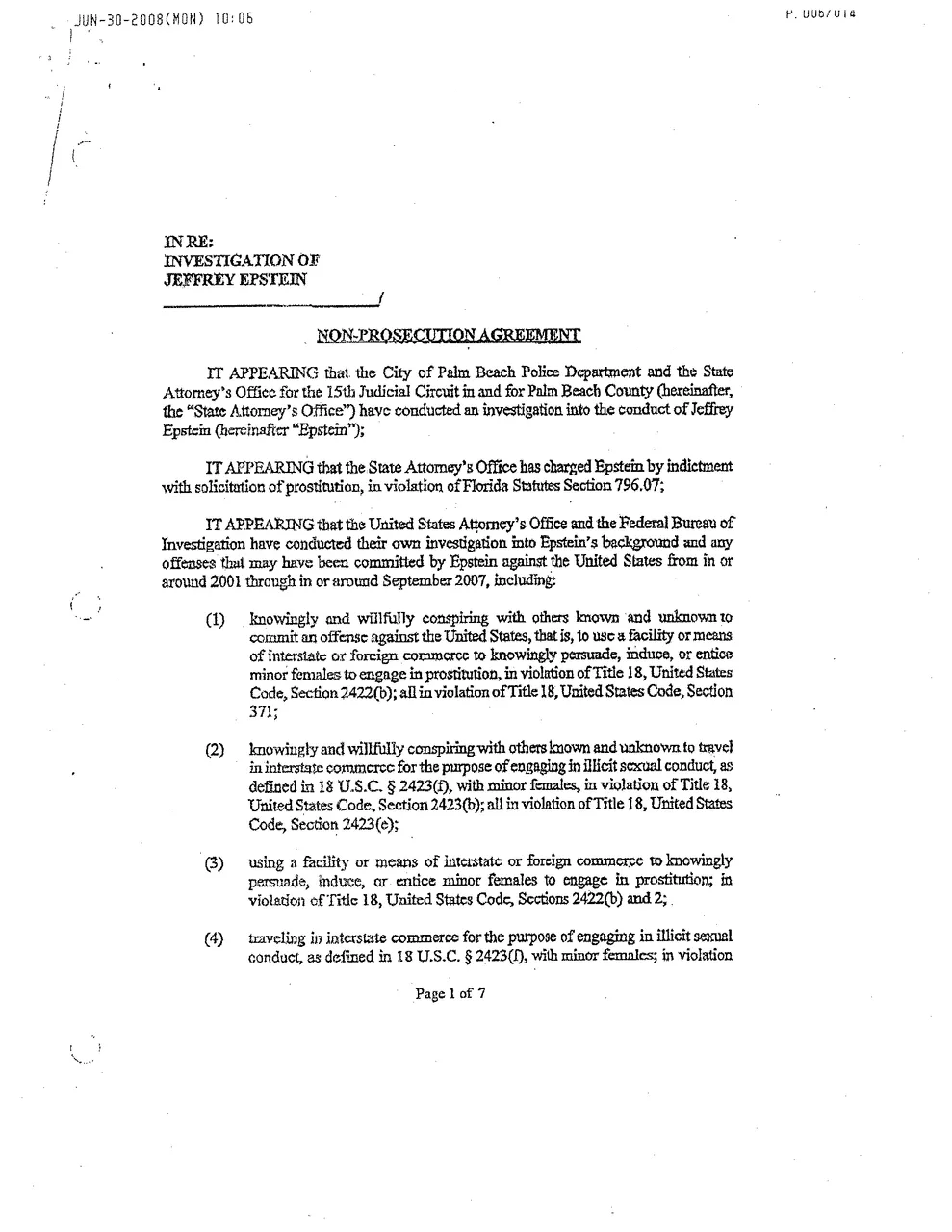
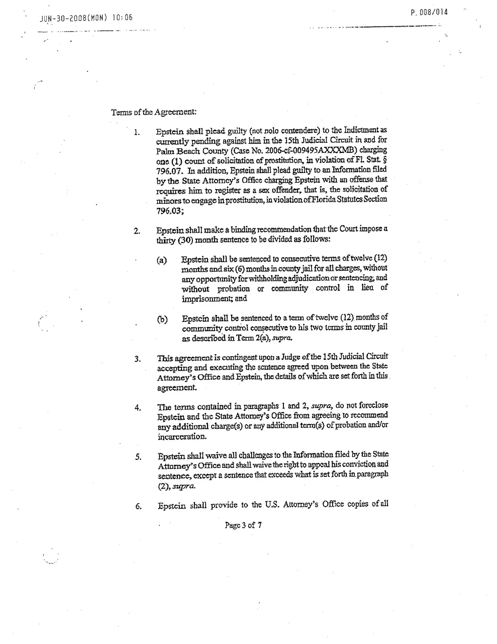
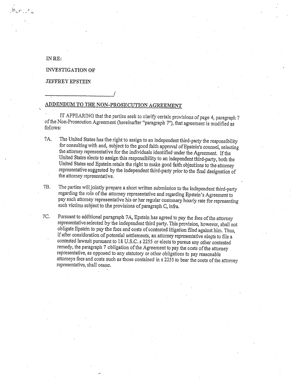
In 2007 Jeffrey Epstein plead guilty to charges which would have him registered as a level 3 sex offender. Epstein was charged with soliciting a minor for commercial sex in Palm Beach, Florida. While there is much notable information in Jeffrey Epstein's non-prosecution agreement ("NPA"), the most important for our purposes right now is that the term of protection was from 2001 to September 2007.
Seeing as how Epstein continued his activities into late 2007, according to the complaint in Jane Doe 43 v. Epstein et al it is quite possible Epstein continued his activities after that date. Epstein is not protected for any activities that occurred after September 2007. He also likely violated the terms of his NPA agreement, making the entire agreement invalid.
The following document is that very NPA which was originally signed and submitted by Jeffrey Epstein on September 24, 2007.
More on Jeffrey Epstein can be found on his page at the Pizzagate Wiki.
The Steemit Archive Project is an ambitious effort to archive some of the most important documents on the web using Steemit. Other archived documents/series so far include:












