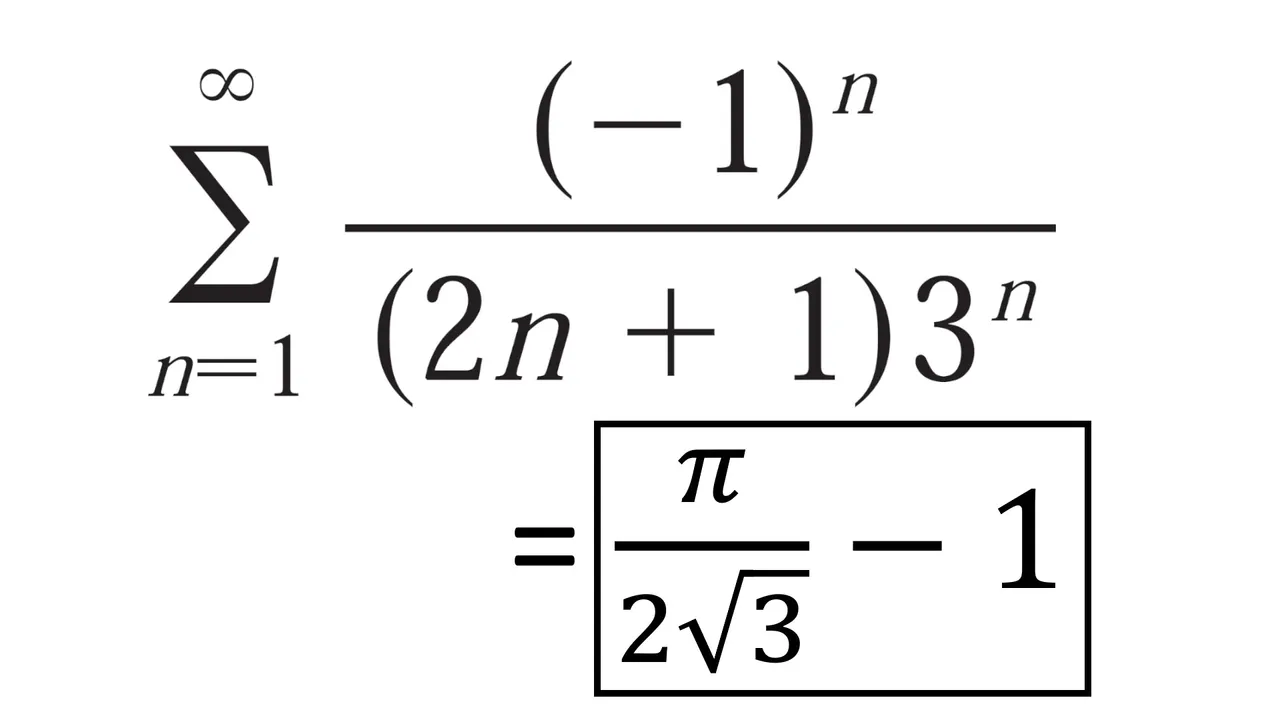
In this video I go over the sum of an infinite series that can be solved by noting it is just the Maclaurin series for inverse tan for the angle π/6. Using exact trigonometric ratios, by splitting an equilateral triangle and applying the Pythagorean Theorem, I show that tan(π/6) = 1/sqrt(3). This means that the inverse tan or arctan(1/sqrt(3)) = π/6. Plugging this value into our earlier Maclaurin series for tan(x), we obtain a formula that includes are given series in the Problem, which we can solve fairly easily.
The timestamps of key parts of the video are listed below:
- Problem 19: 0:00
- Solution: Maclaurin series for arctan(x): 0:19
- Exact trig ratios triangle for tan(π/6) 2:45
- Series for arctan(1/sqrt(3)): 5:19
- Alternate form of the solution: 12:40
This video was taken from my earlier video listed below:
- Infinite Sequences and Series: Problems Plus:
- HIVE video notes: @mes/infinite-sequences-and-series-problems-plus
- Video sections playlist: https://www.youtube.com/playlist?list=PLai3U8-WIK0FQ96Egr5R7fZGeDTIUKz8P
Related Videos:
Sequences and Series playlist: https://www.youtube.com/playlist?list=PLai3U8-WIK0EXHAJ3vRg0T_kKEyPah1Lz .
SUBSCRIBE via EMAIL: https://mes.fm/subscribe
DONATE! ʕ •ᴥ•ʔ https://mes.fm/donate
Like, Subscribe, Favorite, and Comment Below!
Follow us on:
MES Truth: https://mes.fm/truth
Official Website: https://MES.fm
Hive: @mes
MORE Links: https://linktr.ee/matheasy
Email me: [email protected]
Free Calculators: https://mes.fm/calculators
BMI Calculator: https://bmicalculator.mes.fm
Grade Calculator: https://gradecalculator.mes.fm
Mortgage Calculator: https://mortgagecalculator.mes.fm
Percentage Calculator: https://percentagecalculator.mes.fm
Free Online Tools: https://mes.fm/tools
iPhone and Android Apps: https://mes.fm/mobile-apps
▶️ 3Speak