The World of Amino Acids and Proteins #2

Hello to my readers. Today, I’ll continue from where I stopped on my series: The World of Amino Acids and Proteins. I’ll be starting my discussions on the difference between the L- and D- enantiomers of α-amino acids.

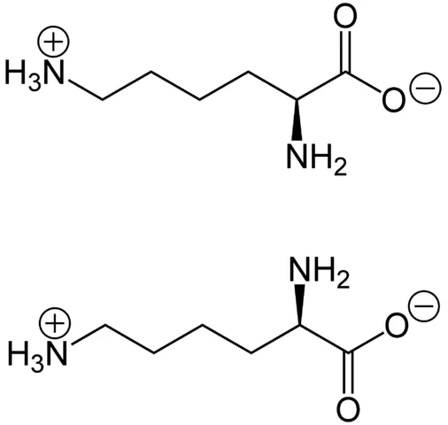
L- AND D- ENANTIOMERS OF α-AMINO ACIDS

Nearly all the amino acids in every organism are made up from one type of enantiomer, known as the L-enantiomer. In the L-enantiomer, the arrangement of the four groups spell CORN (COOH, R, NH2,) when you look directly down on the H atom and go clockwise round the molecule.


β-alanine and its α-alanine isomer. Opabinia regalis, CC BY 3.0

The proteins in the cell wall of a bacterium are made up of D-amino acids, which is unusual in organisms. The antibiotic penicillin kills bacteria because it interferes with the building of new cell walls of the bacteria that are dividing. Penicillin does not destroy cell walls in our bodies because our protein is made of L-amino acids.

Ageing a skull by its smile

When we are born, the dentine inside our teeth contains L-aspartic acid. As we grow older, this starts to change to the D-form. When we die, this process continues at the same rate for hundreds of years. This means that we can accurately date a skull that has been removed from the earth just by knowing the proportions of D- to L-aspartic acid in its teeth provided that the skull is not too old. This technique is reliable back to the tenth century AD.

In a skull of a medieval English man, there is an increase in the ratio of the L- to D-isomers of aspartic acid in its teeth. Exhumed skulls have been dated by determining this ratio.


A skull. Pixabay

CHIRAL DRUGS

Pharmaceutical drugs work on complex chemical sites around the body because they have the correct shape to fit the receptor sites. L-dopa is just such a drug. It is used to treat Parkinson’s disease, which is characterized by uncontrollable shaking in the hands and loss of balance. The L-dopa is absorbed by the brain, where it is converted into dopamine. In the brain, high concentrations of dopamine improve conduction by nerves and thus help to control the shaking. The D-form of the chiral dopa molecule causes very unpleasant side-effects.

Molecules prepared synthetically in the laboratory often contain mixtures of optical isomers. An example is the drug Thalidomide, Between 1956 and 1961 it was prescribed to women who suffered badly from sickness during early pregnancy. While one of the optical isomers was an effective treatment, the other form caused severe deformities. Pharmaceutical companies want to ensure this never happens again.


Dopa molecule. Денис Харламов, CC BY-SA 4.0

If a drug is prepared naturally by enzymes in living systems, then often only one optical isomer is produced. Bacteria or enzymes are often used to promote stereoselectivity – that is, the production of one optical isomer. Another way of producing the desired optical isomer is to use chemical synthesis route using a reagent that promotes the formation of this isomer. Chiral catalysts can also be used. These catalyse the formation of one optical isomer but not the other.

Lastly, a single optical isomer may be made in a series of reactions starting with a naturally occurring chiral molecule, such as an amino acid or a sugar. A positive aspect of understanding the chiral nature of some drugs is that smaller doses can be given, since only half as much is required (the other half being the other optical isomer). Also, side effects caused by the wrong optical isomer are eliminated and the pharmacological activity is much improved.

ZWITTERIONS

Amino acids have two functional groups. The chemical properties of compounds with two functional groups are often the sum of the chemical properties of each individual group. However, with amino acids, the basic amine group and the acidic carboxylic acid group can react with each other. A proton from COOH can be donated to the NH2, group of the same molecule to give a zwitterion, a molecule that carries both a positive and a negative charge. (Zwitter is the German term for hybrid.)


An example of a Zwitterion in Betain-Lysin. Jü - Own work, Public Domain

Their relatively high melting point and high solubility in water indicate that amino acids exist as zwitterions, both in the solid state and in solution. When a dilute acid is added to an aqueous solution of an amino acid, the COO- group accepts a proton to form COOH. This leaves a positive ion (a cation).

The pH at which zwitterions have the highest concentration in solution in equal amounts is known as the isoelectric point. For those amino acids with a neutral R group, the isoelectric point is about pH 6. By contrast, Iysine has a basic side chain that contains an extra NH2 group. This means that a solution of lysine is alkaline and its isoelectric point is about pH 9.5. Those amino acids with an additional COOH in the side chain are acidic and have isoelcctric points with low pH.

ELECTROPHORESIS

Electrophoresis can be used to separate a mixture of amino acids according to the ionic charge at a particular pH. The mixture is placed in a gel or on filter paper in an electric field.

Positively charged ions migrate to the cathode, and negatively charged ions to the anode. When the pH is that at which zwitterions are formed with equal positive and negative charges, the zwitterions cannot move in either direction. So, the pH value must be carefully chosen before the mixture of amino acids can be separated and analyzed successfully.


Gel electrophoresis apparatus. Jeffrey M. Vinocur, CC BY 2.5

Electrophoresis can also be used to separate and identify different proteins in a gel. The large number of different amino acids that make up a protein give it an overall charge at a particular pH. This, combined with the protein’s mass and shape, enables it to be separated from other proteins by electrophoresis. (The higher the mass and more irregular their shape, the slower they move.)

GENETIC FINGERPRINTING

Genes, too, can be analysed by electrophoresis. DNA, the molecule that carries genetic information, is broken up into small fragments by enzymes. These fragments are negatively charged and can be separated into bands using gel electrophoresis. The bands are made visible by tagging them with molecules that contain radioactive phosphorus, 32P, and allow them to fog a photographic film. This forms the basis of genetic fingerprinting used by forensic scientists to identify criminals from blood, saliva or other samples that contain cells.

The chances that two samples of DNA from different people will actually match is estimated to be of the order of one in 25 million. In this way, innocent people can be eliminated from criminal investigations and compelling evidence can be provided against the guilty.

The technique is not only used to catch criminals. It can be used to match parents to their children, and also to identify cancerous cells in bone marrow.


DNA paternity testing diagram. Results of genetic fingerprinting. Helixitta, CC BY-SA 3.0

PIECING TOGETHER THE DEAD SEA SCROLLS

Another fascinating use of electrophoresis is by archaeologists. The first seven of the Dead Sea Scrolls were discovered in a limestone cave by a Bedouin shepherd close to the Dead Sea in 1947. They were stored in a clay jar and were remarkably well preserved; radiocarbon dating has found them to be more than 2000 years old. Following this discovery a total of 800-900 manuscripts have been found in 11 caves. The manuscripts are in 15000 fragments, and they are being pieced together to reveal more about the Old Testament of the Bible and the history of the Jews. Each manuscript is thought to be written on the skin of one animal, either that of a sheep or of a goat. By using genetic fingerprinting the fragments can be identified as belonging to one particular document, which speeds up the re-assembling of the scrolls.

FORMING PEPTIDES

When two amino acids react together, the compound formed is known as a dipeptide. The reaction is between the COOH of one amino acid and the NH2 of the other, to give a dipetide. By convention, the amino acid that contains the free NH2 group is always placed on the left. A molecule of water is eliminated and so the reaction is called a condensation reaction. A condensation reaction is also called an addition-elimination reaction. The small molecule eliminated can be H2O, NH3 or HCl. They can keep reacting to form longer and longer amino acid chains, known as polypeptides. The amino acids in peptides and polypeptides are called amino acid residues. Proteins are made up of one or more long polypeptide chains. Thus, polypeptides and proteins are condensation polymers of amino acids. In our bodies, the condensation reaction is catalyzed by enzymes.

The shorthand notation for a dipeptide made from alanine and glycine is Ala-Gly. The peptide link is shown by the dash. Three-letter codes or abbreviations are used for the names of the amino acids.


Solid-phase peptide synthesis. Dan Cojocari, CC BY-SA 3.0

The CO-NH group is a secondary amide functional group, often referred to as just an amide group. Secondary amides are usually made in the laboratory by reacting a primary amine (RNH2) with an acyl chloride (R’COCI). This is also called a condensation reaction because a small molecule is eliminated. The peptide group or peptide link is the amide functional group that joins two amino acids. Either end of the dipeptide can react with another amino acid to form a tripeptide. Amino acids can keep reacting to form longer and longer amino acid chains, known as polypeptides. The amino acids in peptides and polypeptides are called amino acid residues. Proteins are made up of one or more polypeptide chains. Thus, polypeptides and proteins are condensation polymers of amino acids. In our bodies, the condensation reaction is catalyzed by enzymes.

PEPTIDES DON’T HAVE TO BE LARGE

Many biologically important peptides contain just a few amino acid residues. For example, the human brain produces a peptide called leucine enkephalin that contains just five amino acid residues. This peptide was first discovered when the pain-killing actions of morphine and codeine were being investigated in the 1970s. Both morphine and codeine fit into a brain receptor site, which was found to be the start of their pain-killing action.

The mystery scientists set out to unravel was how these two drugs, both obtained from the dried sap of poppies (called opium), could fit into brain receptor sites. They looked for compounds made in the body that might fit into these sites and discovered that the brain produces its own pain-killers, called enkephalins, of which leucine enkephalin is one.


Structure of Met-enkephalin. ElaineMeng, CC BY-SA 3.0

Oxytocin, which contains nine amino acid residues, is another small peptide. It is a hormone secreted by the human pituitary gland and is responsible for inducing the uterus to contract at the end of pregnancy. It was the first natural peptide to be synthesized in a laboratory. Vincent du Vigneaud, the biochemist who made this important breakthrough in 1954, was awarded the Nobel Prize for Chemistry for his achievement.

Thanks, for reading.


REFERENCES

https://en.wikipedia.org/wiki/Amino_acid

https://chem.libretexts.org/Bookshelves/Biological_Chemistry/Supplemental_Modules_(Biological_Chemistry)/Proteins/Amino_Acids/Properties_of_Amino_Acids/Stereochemistry_of_Amino_Acids

http://www.phschool.com/science/biology_place/biocoach/bioprop/landd.html

https://en.wikipedia.org/wiki/Dopamine

https://www.express.co.uk/news/science/911263/bronze-age-skeleton-remains-study-history-skull-derby-university-perfect-smile

https://www.ncbi.nlm.nih.gov/pmc/articles/PMC3614593/

https://en.wikipedia.org/wiki/Enantiopure_drug

https://en.wikipedia.org/wiki/Zwitterion

http://www.aqion.de/site/zwitterions

https://en.wikipedia.org/wiki/Electrophoresis

https://www.yourgenome.org/facts/what-is-gel-electrophoresis

https://www2.le.ac.uk/departments/genetics/jeffreys/explained

https://www.yourgenome.org/facts/what-is-a-dna-fingerprint

https://alevelbiology.co.uk/notes/genetic-fingerprinting/

https://en.wikipedia.org/wiki/Dead_Sea_Scrolls

https://www.telegraph.co.uk/news/2018/01/22/dead-sea-scrolls-manuscript-pieced-together-deciphered/

http://www.watermark.org/message/6526 

H2
H3
H4
Upload from PC
Video gallery
3 columns
2 columns
1 column
6 Comments