
문제의 문제
몇 해 전, 저는 우연한 기회로 단 하루 한 고등학교의 교단 위에 선 적이 있습니다. 수업 과목은 수학으로, 고3 수험생들의 질문을 받아 주는 역할이었습니다. 진도를 나가야 하는 부담도 없었고, 고교 수학 쯤은 우습게 봤던 터라 아주 가벼운 마음으로 응한 수업이었습니다. 교문을 들어서는 발걸음도 달에 착륙한 암스트롱처럼 사뿐했습니다.
그런데 웬걸, 어쩌다보니 저는 우수반 학생들을 맡게 되었고, 제 자만을 벌하듯 수업 내내 버거운 질문들이 쏟아져 나왔습니다. 잘못하면 체면을 구길 판이었습니다. 속으로는 타들어갔으나 짐짓 아는 체하며 필사적으로 버텨낼 수밖에 없었습니다.
저는 제법 여유로운 표정으로 학생들의 질문에 귀를 기울였습니다.
“질문이 뭐였지? 잘 못들었는데 다시 한번 설명해 주겠니?”
첫 번에 다 알아들었지만 시간을 벌기 위해 다시금 질문을 받았습니다. 제 두뇌는 입이 벌어놓은 시간동안 치열하게 풀이법을 찾아 나갔습니다.
“학생은 어떻게 풀려고 했지? 음.. 그게 왜 안되었지?”
소크라테스의 산파술도 훌륭한 시간 지연 기술이었습니다. 그러다 학생이 스스로 해법을 깨닫기라도 하면 더할나위가 없었습니다. 다행히 겉으로는 순조로이 수업이 진행되는 듯했습니다.

그러나 진짜 위기는 방심한 틈을 타 불시에 찾아오는 법. 요령이 생기니 만만하다 싶은 문제가 나오면 거침없이 풀어 면을 세우고자 하는 갈망이 동하던 참이었습니다. 우수반 학생들 전원이 질문해 온 한 문제가 눈에 띄었습니다. 그들의 질문치고 전형적인 미분 문제에 불과했습니다. 약간의 의구심이 들었지만, 한껏 고양된 저는 시간벌이 없이 바로 백묵을 들어 자신있게 풀이를 시작했습니다.
“????? ??”
“선생님, 우리도 그렇게는 풀었어요”
“????? !!”
문제는 생각처럼 단순하지 않았고, 학생들은 재촉하기 시작했습니다. 칠판으로 돌아선 제 등 뒤로 날카로운 시선들이 꽂히고 있었습니다. 오만에 오만을 부린 대가였습니다. 뒤늦은 후회가 밀려왔지만, 이미 문제에 깊숙이 관여한 상태였습니다. 퇴로는 없었습니다.
문제의 문제는 다음과 같았습니다.

그리고 그 때의 풀이는 다음과 같았습니다.

먼저 [0, 1]의 변역을 갖는 변수 t로써 D의 좌표를 (t, 0) 이라 설정합니다. C의 좌표는 피타고라스의 정리에 따라, (0,
)로 쉽게 구할 수 있습니다.
그리고 점A를 x축으로 내린 수선의 발 A' 에 대하여, ∠A'AD = ∠ODC 이고, ∠ADA' = ∠OCD이므로, △AA'D 와 △COD가 빗변과 양 끝각이 같은 ASA 합동을 이룸을 알 수 있습니다.
따라서,
,
이고, A의 좌표는
가 됩니다.
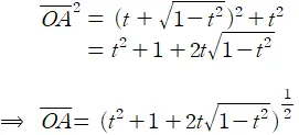
이제
의 길이를 t로 표현하면 다음과 같습니다.

그리고
는 단조증가함수이므로,
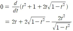
식의 괄호 안 수식만을 미분하여 미분계수가 0인 극점을 찾습니다.

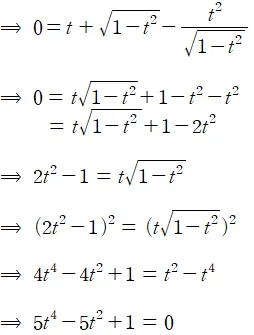
위 식의 양변을 열심히 정리하여 다항식으로 만듭니다.

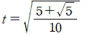
이차방정식의 근의 공식으로 t값을 구합니다.


드디어! 찾아낸 t의 두 값을
에 각각 대입하여 나온 값을 비교해 더 큰 값을 찾기만 하면, 주어진 문제가 해결됩니다! 조금만 더 인내하면 됩니다!
i)
일 때,
... ...

아무튼, 답은
일 경우를 잘 정리하면 최댓값
을 얻을 수 있습니다.
어떻습니까? 만족스러운 풀이로 보이십니까? 사실 이같은 풀이 방식 자체는 전혀 대단한 것이 아니었습니다. 교과과정상 흔하게 등장하는 뻔한 풀이법이였습니다. 다만, 문제는 그 계산이 지나치게 장황하다는 점이었습니다.
“이렇게까지 풀어야 해???”
“선생님, 우리도 그렇게는 풀었어요”
“이래서는 시간 내에 풀 수 없어!!”
학생들도 답을 구하지 못해 질문한 것이 아니었습니다. 수험생 입장에서는 주어진 시간동안 답을 낼 수 있는지 여부도 중요했던 탓에 제기된 질문이었습니다. 더욱이 실전에서 이렇게 계산이 복잡해지면 수험생은 심리적 압박에 못 이겨 지레 문제를 포기하고 맙니다. 결국 그들이 제게 던진 질문의 정확한 내용은 “계산이 보다 간결한 풀이”였습니다. 처음부터 그렇게 물어봤더라면 얼버부려 다른 문제로 넘어갈 수 있었을텐데...
‘어디서부터 계산이 꼬인걸까’
‘첫 변수 설정부터 잘못된 선택이었을까?’
‘t를 x로 바꿔볼까?’
시간이 갈수록 가슴속은 답답해졌고, 머릿속은 혼란스러워졌습니다.

선생님 자존심에 여기서 물러설 수도 없었지만, 그렇다고 뾰족한 수가 떠오르는 것도 아니었습니다. 오만가지 풀이법을 떠올려 보았으나 미력한 저의 능력으로는 나아갈 길이 보이지 않았습니다. 누군가의 도움이 절실했습니다.
이렇게 절박한 심정을 읊조리던 그때였습니다.
‘그래! 무당은 장군신과 접신하여 운명을 점친다고 했지? 나도 과학신을 영접하여 문제를 물어봐야겠다!’
문득 떠오른 기발한 생각이었습니다. 완벽한 해결책이었습니다. 저는 들뜬 마음을 감추고, 학생들에게 들키지 않도록 조심스레 칠판으로 몸을 돌려 눈알을 뒤집기 시작했습니다.
과학신들이시여! 저를 어엿비 여기사 도움을 주소서!!

(계속)
저자의 다른 글
과학 에세이
● 양자역학, 경제학, 그리고 진화론 (1)● 양자역학, 경제학, 그리고 진화론 (2)
● 교양을 위한 양자역학 (1)
● 교양을 위한 양자역학 (2)
● 여러분이 가장 먼저 배운 제2언어는 무엇입니까?
● 미래에는 음성 언어가 사라질까? (1)
● 미래에는 음성 언어가 사라질까? (2)
● 미치오 카쿠가 말하는 양자 컴퓨터
● 카쿠와 마윈이 말하는 미래
● 종 예외주의 (1) : 들어가며
● 종 예외주의 (2) : 종의 분화
● 종 예외주의 (3) : 이기적인 종
● 종 예외주의 (4-1) : 이타적인 종 ; 정의란 무엇인가
● 종 예외주의 (4-2) : 이타적인 종 ; 도덕적 동물
● 종 예외주의 (5-1) : 이기와 이타의 경계 ; 선과 악의 공존
● 종 예외주의 (5-2) : 이기와 이타의 경계 ; 이기와 이타의 진화 上
● 종 예외주의 (5-2) : 이기와 이타의 경계 ; 이기와 이타의 진화 中
● 종 예외주의 (5-2) : 이기와 이타의 경계 ; 이기와 이타의 진화 下
● 종 예외주의 (5-3) : 이기와 이타의 경계 ; 동전의 양면
● 종 예외주의 (6) : 마치며
● 교양을 위한 양자역학 (1)
● 교양을 위한 양자역학 (2)
● 여러분이 가장 먼저 배운 제2언어는 무엇입니까?
● 미래에는 음성 언어가 사라질까? (1)
● 미래에는 음성 언어가 사라질까? (2)
● 미치오 카쿠가 말하는 양자 컴퓨터
● 카쿠와 마윈이 말하는 미래
● 종 예외주의 (1) : 들어가며
● 종 예외주의 (2) : 종의 분화
● 종 예외주의 (3) : 이기적인 종
● 종 예외주의 (4-1) : 이타적인 종 ; 정의란 무엇인가
● 종 예외주의 (4-2) : 이타적인 종 ; 도덕적 동물
● 종 예외주의 (5-1) : 이기와 이타의 경계 ; 선과 악의 공존
● 종 예외주의 (5-2) : 이기와 이타의 경계 ; 이기와 이타의 진화 上
● 종 예외주의 (5-2) : 이기와 이타의 경계 ; 이기와 이타의 진화 中
● 종 예외주의 (5-2) : 이기와 이타의 경계 ; 이기와 이타의 진화 下
● 종 예외주의 (5-3) : 이기와 이타의 경계 ; 동전의 양면
● 종 예외주의 (6) : 마치며
신경 과학
● 기억이란 실제로 무엇일까?● 마음을 드러내는 방법 : 마음 챙김 명상의 철학과 신경 과학
● 양자 역학이 의식의 본질을 밝혀낼 수 있는 이유
● 신경 가소성 : 내가 나를 보는 방식
● 양자 역학이 의식의 본질을 밝혀낼 수 있는 이유
● 신경 가소성 : 내가 나를 보는 방식