
아인슈타인의 가르침

“ ... ... ”
코페르니쿠스에 이어 제 간절한 기도에 응한 과학신은 다름 아닌 알베르트 아인슈타인(Albert Einstein, 1879~1955)이었습니다. ‘아인슈타인이라니, 아인슈타인이라니!’ 저는 20세기 최고의 과학자를 맞아 그만 할 말을 잊어 버렸습니다. 감히 상상하지도 못했던 전개였습니다. 숨이 멎을 듯한 긴장과 벅차오르는 감격 사이의 혼란은 잠깐의 마비를 가져왔습니다.
“불러놓고 어찌 그대는 아무 말이 없는가?”
결국 그가 먼저 입을 떼었고, 저는 그제야 정신이 번쩍 들었습니다.
“위대한 과학신의 왕림에 잠시 넋이 나갔사옵니다. 용서하여 주소서.”
다행히 그는 늘상 있는 일이라는 듯 평온한 낯빛이었습니다.
“그래, 용건이 무엇인고?”
“과학신께는 극히 하찮은 고등학교 수학 문제를 하나 여쭙나이다.”
그라면 우리 같은 평범한 사람들이 풀도록 고안된 수학 문제 따위는 쉽게 해결해 줄 것이었습니다. 만약 그가 해법을 찾지 못한다하여도, 문제를 미련없이 포기할 수 있는 좋은 근거가 될 터였습니다.
“무척 간단한 문제로군! 하나 자네에게는 조금 어려울 수 있네. 이제 내가 하는 이야기를 잘 들어 보게나.”
과연! 아인슈타인의 영명은 허명이 아니었습니다. 그는 문제를 보자마자 설명을 시작하였습니다.
“
자네 혹시 전기장과 자기장이란 무엇인지 들어 보았는가?
그래, 장(場, field)이라는 말이 어렵다면, 힘(力, force)이라는 말은 어떠한가? 아마 전기력과 자기력은 자네도 일찍이 흔히 경험해 보았을 것이라네. 통상 전기력이라 함은 그림1 왼쪽과 같이 풍선으로 머리칼을 띄우는 힘 따위를 이르고, 자기력이라 함은 그림1 오른쪽과 같이 자석으로 클립을 끌어올리는 힘 따위를 일컬으니 말이네.

그리고 자네에게 상식이 조금 있다면, 전기력을 일으키는 물체에는 양(+) 또는 음(-)의 성질이 깃들어 있으며, 자기력을 일으키는 물체에는 북(N) 또는 남(S)을 향하는 성질이 깃들어 있어, 같은 성질의 물체끼리는 밀쳐내고 다른 성질의 물체끼리는 끌어당긴다는 사실을 알고 있을 것일세. 이렇게 직접 접촉 없이 공간을 가로질러 작용하는 힘이란 무척이나 특이한 현상이지.
장(field)라는 개념은 이처럼 공간 너머 작용하는 전기력과 자기력의 특성에서 비롯한다네. 이제 자네가 가진 통념 선에서 전기장과 자기장을 정의해 보자면,
- 전기장이란 어떠한 지점에 전기적 물체가 있다면 작용할 가상의 힘
- 자기장이란 어떠한 지점에 자기적 물체가 있다면 작용할 가상의 힘
이라고 할 수 있을걸세. 때때로 그림2와 같이 힘을 연결한 선으로써 전기장과 자기장을 도시하곤 하는데, 이 경우에도 위 정의와 마찬가지로, 만일 어느 선 위에 양(+)성의 물체를 놓거나 북(N)향의 물체를 놓았을 때, 물체가 화살표 방향으로 힘을 받아 선을 따라 움직인다는 뜻이라네.

물론 통념만으로 파악한 전기장과 자기장은 부족한 점이 많네. 힘을 발하는 주체와 힘을 받는 객체가 불분명하고 그 세기도 정량적이지 않네. 그런데 사실 18세기 전까지 인류의 지식도 사정은 다르지 않았네. 오히려 더 안 좋았다고 말할 수 있네. 장(field)은 커녕 전기력과 자기력은 일종의 마법 취급을 받았을 뿐이었지. 그러던 것이 17세기 후반 뉴턴 물리학의 큰 성공으로 말미암아 전환점을 맞이하게 된 것이라네. 사람들은 힘을 해석하는 그의 이론과 더불어 모든 자연 현상을 물리법칙으로 설명할 수 있다는 믿음을 얻었는데, 전기력과 자기력 또한 여기에서 예외가 아니었네.
과학자들은 전기력에 책임이 있는 전하(electric charge)라는 물성을 먼저 가정하였네. 어떤 물체가 양(+)성 또는 음(-)성을 띠는 이유가 그 물체가 품은 양전하 나 음전하의 존재 때문이라는 걸세. 곧이어 그들은 전하의 개념에서 번개나 전류의 정체 또한 전하의 흐름임을 알아내었지. 전하의 도입은 꽤나 성공적이었네. 그리고 이를 기초로 하여, 18세기 말 쿨롱(Charles-Augustin de Coulomb, 1736~1806)이 두 전하 사이에 작용하는 힘의 세기를 정량적으로 기술하고, 19세기 초 앙페르(André-Marie Ampère, 1775~1836)가 자기장의 원인이 전류에 있음을 밝힘으로써, 전기장과 자기장의 연구는 새로운 국면으로 들어서게 되었다네. 특히 앙페르의 업적은 N극과 S극 사이의 힘으로서 전기 현상과 별개로 취급되던 자기 현상을 일종의 전기 현상으로 통합한 위대한 발견이었네.
쿨롱과 앙페르의 성취를 바탕으로 전기장과 자기장을 다시 정의하면 다음과 같네.
- 전기장이란 한 전하가 다른 단위 전하에 가하는 가상의 힘
- 자기장이란 한 전류가 다른 단위 전류에 단위 길이당 가하는 가상의 힘
이 때 단위 전하와 단위 전류의 세기는 쿨롱과 앙페르를 기려 각각 1쿨롱(C)과 1암페어(A)라 한다네. 그림 3은 전기장(E)과 자기장(B)의 원인으로서 전하와 전류를 표현하는 그림이라네. 다만, 여기서 후자의 경우 엄밀하게는 전류가 받는 힘과 자기장의 방향이 서로 수직하도록 정의됨을 주의하게.

혹여 앞선 정의가 지나치게 복잡하다면 이렇게 기억해 두도록 하게. 이것이 핵심이라네.
전기장이란 한 전하가 다른 전하에 가하는 힘
자기장이란 한 움직이는 전하가 다른 움직이는 전하에 가하는 힘
”
“자네, 전기장과 자기장이 뭐라고?”

“네... 전...전기장이란 전하가 전하에 작용하는 힘이고, 자기장이란 움직이는 전하가 움직이는 전하에 작용하는 힘이옵나이다.”
깜박 정신이 아득해져가던 찰나 들어온 깜짝 질문이었습니다. 가까스로 그의 마지막 말을 반복하여 위기를 모면할 수 있었습니다. 학창시절 선생님들의 기습 질문을 받아오며 터득한 기술이었습니다.
“좋아. 어떤가? 쉽지 않은가?”
“제 평생 이렇게 쉬운 전자기학 강의는 처음이나이다”
감히 아인슈타인에게 졸 뻔하였다 말하지 못하고 빈말이 튀어 나왔습니다. 양심의 가책 탓이었는지, 오히려 한 술 더 떠 짐짓 알아들은 척 질문을 해야 한다는 생각이 들었습니다.
“과학신이시여, 그런데 전하는 결국 전자나 양성자가 품는 성질이 아니오니까?”
“좋은 질문이네. 그래, 전자기에 대하여 깊게 따지고 들자면 마땅히 전자나 양성자 따위를 언급해야하네. 하지만 전자나 양성자 같은 입자는 20세기에 들어서야 밝혀진 것이라네. 이들로써 전자기를 설명하자면, 어딘가 탐탁지 않은 양자역학을 꼭 논해야한다네. 자네도 거기까지 원하는 것은 아닐게야. 그러니 다루는 범위를 내 이전의 물리학으로 제한하도록 함세. 비록 최신은 아니나, 나의 논의는 전하의 개념만으로도 충분히 유효하다네.”
“아, 그렇다면 이제 제가 알아야 할 전기장과 자기장 이론은 모두 배운 것이나이까?”
“물론! 아니라네! 정말 중요한 내용이 아직 남아있네. 자네, 배울 것이 남아 있다니 즐겁지 아니한가?”
아아, 그는 설명을 이어 나갔습니다.
“
쿨롱과 앙페르 이후 전기장과 자기장의 특성을 밝히는 연구는빠르게 발전하였네. 가우스와 페러데이 등 뛰어난 과학자들이 속속 등장하였지. 그리고 최종적으로 최종적으로, 19세기 중반, 제임스 클러크 맥스웰(James Clerk Maxwell, 1831~1879)에 이르러 전자기학은 집대성되었다네. 표1은 맥스웰이 앞선 연구자들의 성취를 정리하여 만든 그 유명한 맥스웰 방정식이라네.
Gauss's law | ![]() | |
Gauss's law for magnetism | ![]() | |
Faraday's law of induction | ![]() | |
Ampère's circuital law | ![]() |
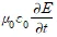
맥스웰 그는 수학적 계산으로 현상을 예측하는 데 탁월한 능력이 있었어. 예를 들어, (ⅳ)식은 그가 기존의 앙페르 법칙에
항을 추가하여 완성한 것인데, 이는 실험을 통해 알아낸 것이 아니라 그저 그가 등식을 계산하여 본 결과였다네. 물론 추후의 실험으로 그러한 현상이 존재함을 밝혀 내기도 하였고.
그의 가장 빛나는 업적도 이와 같은 수학적 통찰력에서 비롯하였네. 그는 다음의 계산에서 전자기장이 갖는 완전히 새로운 성질을 발견해 내었다네. 간단한 미분 연산이니 자네도 한 번 눈으로 따라가 보게. 혹여 수학을 모르더라도 이렇게 단순한 계산에서 전자기장의 성질이 통찰되었다는 사실 정도만 알아두게.

그에게 위의 두 미분 방정식이 의미하는 바는 분명하였네. 이들 식은 물결의 일렁임을 기술하는 파동 방정식과 정확히 일치하였기 때문이었네. 즉, 도출된 두 방정식은 전기장과 자기장이 서로의 변화를 유도하며 파동으로서 공간을 가로지르고 있다는, 무척이나 놀라운 결론을 담고 있었네. 지금은 상식이 된 전자기파의 존재를 처음으로 알아낸 순간이었다네.
하지만 더욱 놀라운 것은 이 파동 방정식의 속력에 해당하는
이 3×108m/s로 빛의 속력과 일치한다는 점이었네. 여기서 그는 뛰어난 직관을 발휘하여 이렇게 추론해 낸다네.
전자기파가 곧 빛이다.
놀라움을 넘어 소름 돋는 결론이었지. 이후 그의 가설은 실험으로 증명되며 전자기학의 혁명되었고, 전자기장은 더 이상 가상의 힘이 아닌 물리적 실재로 다뤄지게 되었네. 에너지를 전달하는 존재로서 말일세.
자, 지금까지 내용의 요점 정리라네.
1. 전기장이란 한 전하가 다른 전하에 가하는 힘
2. 자기장이란 한 움직이는 전하가 다른 움직이는 전하에 가하는 힘
3. 전자기파란 곧 빛을 의미
4. 전자기장은 에너지를 전달하는 물리적 실재
”
드디어 그의 전자기학 수업이 끝난 듯 보였습니다. 마지막 요점 정리라니, 그도 한 때 과외 선생을 했었다던데, 학생을 가르치던 요령이 남아있는 모양이었습니다.
“과학신이시여, 감동적인 열강이었나이다. 하오나, 어떻게 전자기장의 지식이 저의 문제를 해결해 줄 수 있나이까? 저에게 지혜를 주소서”
이제는 그만 답을 알고 싶었습니다. 지난 코페르니쿠스의 강의부터 급작스레 들어온 지식들로 머리가 지끈거렸습니다.
“허허. 자네 성격이 아주 급하구만. 지금까지의 내용은 내가 자네에게 해 줄 이야기의 배경에 불과하다네. 내가 정리해 준 요점만 잘 기억하고 따라온다면, 앞으로도 그리 어렵지 않을 걸세.”
“... ...”
오오!! 신이시여!!!
(계속)
저자의 다른 글
과학 에세이
● 양자역학, 경제학, 그리고 진화론 (1)● 양자역학, 경제학, 그리고 진화론 (2)
● 교양을 위한 양자역학 (1)
● 교양을 위한 양자역학 (2)
● 여러분이 가장 먼저 배운 제2언어는 무엇입니까?
● 미래에는 음성 언어가 사라질까? (1)
● 미래에는 음성 언어가 사라질까? (2)
● 미치오 카쿠가 말하는 양자 컴퓨터
● 카쿠와 마윈이 말하는 미래
● 종 예외주의 (1) : 들어가며
● 종 예외주의 (2) : 종의 분화
● 종 예외주의 (3) : 이기적인 종
● 종 예외주의 (4-1) : 이타적인 종 ; 정의란 무엇인가
● 종 예외주의 (4-2) : 이타적인 종 ; 도덕적 동물
● 종 예외주의 (5-1) : 이기와 이타의 경계 ; 선과 악의 공존
● 종 예외주의 (5-2) : 이기와 이타의 경계 ; 이기와 이타의 진화 上
● 종 예외주의 (5-2) : 이기와 이타의 경계 ; 이기와 이타의 진화 中
● 종 예외주의 (5-2) : 이기와 이타의 경계 ; 이기와 이타의 진화 下
● 종 예외주의 (5-3) : 이기와 이타의 경계 ; 동전의 양면
● 종 예외주의 (6) : 마치며
● 사고의 코페르니쿠스적 전환 (1)
● 사고의 코페르니쿠스적 전환 (2)
● 교양을 위한 양자역학 (1)
● 교양을 위한 양자역학 (2)
● 여러분이 가장 먼저 배운 제2언어는 무엇입니까?
● 미래에는 음성 언어가 사라질까? (1)
● 미래에는 음성 언어가 사라질까? (2)
● 미치오 카쿠가 말하는 양자 컴퓨터
● 카쿠와 마윈이 말하는 미래
● 종 예외주의 (1) : 들어가며
● 종 예외주의 (2) : 종의 분화
● 종 예외주의 (3) : 이기적인 종
● 종 예외주의 (4-1) : 이타적인 종 ; 정의란 무엇인가
● 종 예외주의 (4-2) : 이타적인 종 ; 도덕적 동물
● 종 예외주의 (5-1) : 이기와 이타의 경계 ; 선과 악의 공존
● 종 예외주의 (5-2) : 이기와 이타의 경계 ; 이기와 이타의 진화 上
● 종 예외주의 (5-2) : 이기와 이타의 경계 ; 이기와 이타의 진화 中
● 종 예외주의 (5-2) : 이기와 이타의 경계 ; 이기와 이타의 진화 下
● 종 예외주의 (5-3) : 이기와 이타의 경계 ; 동전의 양면
● 종 예외주의 (6) : 마치며
● 사고의 코페르니쿠스적 전환 (1)
● 사고의 코페르니쿠스적 전환 (2)
신경 과학
● 기억이란 실제로 무엇일까?● 마음을 드러내는 방법 : 마음 챙김 명상의 철학과 신경 과학
● 양자 역학이 의식의 본질을 밝혀낼 수 있는 이유
● 신경 가소성 : 내가 나를 보는 방식
● 양자 역학이 의식의 본질을 밝혀낼 수 있는 이유
● 신경 가소성 : 내가 나를 보는 방식



