
아인슈타인의 가르침
“
본격적인 내용에 앞서 전자기장의 요점을 재차 강조하겠네.
1. 전기장이란 한 전하가 다른 전하에 가하는 힘
2. 자기장이란 한 움직이는 전하가 다른 움직이는 전하에 가하는 힘
3. 전자기파란 곧 빛을 의미
4. 전자기장은 에너지를 전달하는 물리적 실재
자네가 이를 잘 숙지했다면, 이제 맥스웰 방정식을 다시 보겠네.
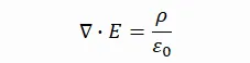
Gauss's law | ![]() | |
Gauss's law for magnetism | ![]() | |
Faraday's law of induction | ![]() | |
Ampère's circuital law | ![]() |
맥스웰 방정식은 이렇게 고작 네 개의 식으로 구성되어 있었지만, 전기장과 자기장의 모든 것을 설명해 주었다네. 이론은 실험과도 정확히 일치하였고 공학에서도 훌륭히 현상을 예측하였네. 그리하여 19세기가 끝나갈 무렵에는 물리학계가 축제 분위기로 들떠 있었지. 사람들은 뉴턴의 역학과 맥스웰의 전자기학이 세상 만물의 모든 이치를 꿰뚫어 보았다 믿었고, 아주 사소한 문제 몇 가지만 남았을 뿐이라 생각하였다네.
그러나, 문제는 그 사소한 문제였네. 맥스웰의 전자기학이 뉴턴의 역학과 충돌하는 지점에서 당대의 과학자들은 해답을 찾지 못하였네.
첫째로, 맥스웰 방정식이 기반하는 자기장의 정의가 말썽이었네. “물리 법칙은 등속의 모든 관찰자에게 동일하게 적용된다”라는 뉴턴 역학의 ‘상대성 원리(principle of relativity)’를 생각하였을 때, 자기장이 보여주는 현상은 이해하기가 어려웠어. 무엇이 문제였는지, 먼저 전기장의 경우를 한 번 보세.

그림 1은 정지한 두 전하(+q, -q) 사이에 발생하는 전기력과 v의 속력으로 움직이는 두 전하(+q, -q) 사이에 발생하는 전기력을, 각각 서 있는 사람과 v로 뛰어 가는 사람의 시점으로 바라봄을 나타내네. 여기서 한 번 생각해 보게. 자네가 (b)의 뛰어 가는 사람이라면 두 전하가 어찌 보이겠는가? 상상이 되는가? 두 전하는 마땅히 상대 속도의 논리에 따라 정지해 보일걸세. 즉, (a)에서 서 있는 사람이 정지한 두 전하를 보는 것과 똑같이 전하들이 보일거란 말일세. 그리고 이는 결국 그림 1의 (a)나 (b)가 동일한 물리현상임을 의미하지. 이 때 과연 (a)와 (b)에서 두 전하 사이에 작용하는 물리법칙이 서로 다를 수 있겠는가? 결코 그럴 수 없네. 두 경우는 동일한 물리 법칙에 의해 지배되고, 따라서 (a)의 음전하가 받는 힘이나 (b)의 음전하가 받는 힘은 동일할 수밖에 없어. 이는 ‘상대성 원리’를 충실히 따른 결과이자, 어찌보면 무척 당연한 원리야.
그런데, 자기장은 이처럼 자명한 원리가 적용되지 않는듯 보였네. 그림2를 잘 보게.

그림 2는 무한한 길이의 도선에 흐르는 전류, 즉 v의 속력으로 움직이는 선밀도 λ의 전하에 대하여, v로 움직이는 전하(q)가 받는 자기력과 정지한 전하(q)가 받는 자기력을, 각각 v로 뛰어 가는 사람의 시점과 서 있는 사람의 시점으로 바라봄을 나타내네. 그리고 이 때 도선 내부에 존재하는 양전하의 선밀도와 음전하의 선밀도는
으로 동일하여 도선의 알짜 전하량이 0이고 전기장이 작용하지 않는 상황이라네. 그래, 그림을 언뜻 본 자네도 벌써 무언가 이상함을 느꼈을 게야. 전하와 관찰자의 상대속도를 따져보면, 분명히 그림 2의 (a)와 (b)도 그림 1의 경우와 마찬가지로 서로 동일한 물리현상이어야 하는데, (a)에서 움직이는 전하는 자기력을 받고 (b)에서 정지한 전하는 자기력을 받지 아니하는, 서로 다른 물리법칙이 적용되고 있는 것이지. 이는 “한 움직이는 전하가 다른 움직이는 전하에 가하는 힘”이라는 자기력의 정의에는 잘 부합하지만, 뉴턴 역학의 토대인 ‘상대성 원리’에는 명백히 배반하는 결과이네. 이해가 가나? 모두 옳아 보이지만 결국 모순되는 두 원리 사이에서 과학자들은 골치를 썩을 수밖에 없었네.
그리고 둘째로, 맥스웰 방정식이 도출하는 전자기파의 성질이 문제였네. 기억하는가? 나는 앞서 전자기파가 다음의 파동 방정식으로 기술됨을 설명한 바 있네. 또 이 파동 방정식을 통해 전자기파가 빛의 속도로 진행함을 알 수 있었고, 전자기파가 곧 빛임을 통찰할 수 있었음을 설명하였지.

한데, 이 파동 방정식은 그 외에도 도무지 믿을 수 없는 전자기파의 성질 하나를 암시하고 있었어. 방정식은 어디에도 좌표계에 대한 정보를 포함하지 않고 있었는데, 이게 무슨 소리인고 하니, 어떤 관성좌표계에서든 전자기파의 속력은
으로 항상 일정하다는 뜻이었네.
이는 지극히 상식적인 자연의 법칙을 위배하였네. 예를 들어, 그림 3에서 서 있는 사람은 달리는 사람의 속도를 v로, 자동차의 속도를 u로 볼 것이고, 달리는 사람은 서 있는 사람의 속도를 -v로, 자동차의 속도를 u-v로 볼 것이네. 매우 직관적이고 자명한 법칙이자, ‘상대성 원리’로부터 바로 유도되는 ‘속도합산 정리(the theorem of the addition of velocities)’라네. 그런데 맥스웰 방정식에 따르면, 전자기파 즉 빛은 이 법칙을 따르지 않았어. 관찰자가 서 있든 뛰어 가든 차에 타든 빛은 언제나 c = 3.5×108 m/s의 속력으로 보이고, 광원이 정지해 있든 움직이든 빛은 항상 c = 3.5×108 m/s의 속력으로 보인단 말일세. 정말 말도 안되는 결론이었지. 과학자들은 맥스웰 방정식에 하자가 있다고 생각하였지만, 그렇다고 맥스웰 방정식을 보충할 방법을 찾지 못하였네. 아니면 뉴턴 역학의 ‘상대성 원리’가 틀린 것이었지만, 이 역시 대체할 새로운 법칙을 제시할 수 없었다네.
”
“흥미진진하지 않은가? 뉴턴 역학과 맥스웰 전자기학의 충돌!”
그는 이야기를 끌어가며 스스로의 이야기에 심취한 모양이었습니다. 이미 그의 설명을 이해하는 것은 포기한지 오래이나, 그의 흥에는 호응해 주는 것이 옳다 느껴졌습니다.
“와... 대체 상대성 원리와 맥스웰 방정식 중 무엇이 옳았사나이까? 너무 궁금하옵나이다”
“그렇지? 여기서 바로 내가 등장한다네. 맥스웰이 사망한 해, 내가 태어나 물리학의 바통을 이어 받았다 할 수 있지.”
“
나는 자네의 기대와 다르게, 아무리 생각해도 상대성 원리가 틀렸다거나 맥스웰 방정식이 잘못되었다 생각할 수 없었다네. 특히 마이컬슨-몰리의 실험으로 관성좌표계와 상관없이 빛의 속도가 일정함을 실제로 관찰한 이후, 내 생각은 더욱 확고해졌지. 그리하여 나는 충돌하는 듯 보이는 두 명제를 공준(postulate)으로 세우고, 다시금 물리 현상을 검토해 나갔네.
- 물리 법칙은 등속의 모든 관찰자에게 동일하게 적용된다. (상대성 원리)
- 진공에서 빛의 속도는, 관찰자 또는 광원의 상대적 움직임에 관계없이, 모든 관찰자에게 동일하다. (광속 불변의 원리)
그리고 이 확고한 공준 아래, 상대적 움직임에도 빛의 속도가 일정하기 위하여는, 공간과 시간이 관찰자에 따라 달라지면 된다는 사실을 통찰하였어. 이는 결코 첫 번째 공준을 위반하지 않았지. 무슨 말인지 잘 모르겠다고? 자, 아래의 그림을 보세나.

그림 3은 달리는 기차 안에서 전구로부터 나온 빛이 바닥에 도달하는 동일한 사건을, 각각 기차 안과 밖에서 관찰함을 표현하고 있네. 그리고 자네가 보듯, (a)보다 (b)에서 빛이 이동하는 경로가 길어짐을 확인할 수 있다네. 그렇다면 (속도) = (거리)/(시간)인데, 공준에 따라 빛의 속도는 일정하고, 관찰된 거리는 늘어났다는 것은 무엇을 의미하겠나? 즉, 관찰된 시간도 함께 늘어났다는 말이 되네. 쉽게 말해, (b)의 관찰자가 찬 시계가 (a)의 관찰자가 찬 시계보다 빠르게 간다는 말일세. 수식을 세워 명확하게 표현하자면 아래와 같네.


또한 위의 시간 지연 현상에 이어, 그림 4처럼 빛이 한 쪽 벽에서 출발해 반대쪽 벽을 부딪히고 나와 다시 돌아오는 경로를 관찰하였을 때에는, 기차의 길이가 다르게 관찰됨을 알 수 있네. 이 경우에도 빛은 기차 밖에서 관찰할 때 더 긴 경로를 이동하는데, (속도) = (거리)/(시간)에서 (b)의 기차 길이가 (a)에서보다 짧아져야 동일한 빛의 속도를 유지할 수 있는 것이라네. 이는 움직이는 물체가 정지한 물체보다 짧게 보이는 길이 수축 또는 로렌츠 수축 현상으로 불리우네. 정확한 수식은 아래와 같아.

정리하자면,
- 움직이는 물체는 정지한 물체보다 시간이 느리게 간다.
- 움직이는 물체는 정지한 물체보다 길이가 짧아진다.
는 것이네. 이로써 두 번째 문제는 해결된 것이지. 빛의 속도도 좌표계에 의존하지 않고, 상대성 원리도 잘못되지 않았지만, 상대성 원리에서 유도된 속도합산 정리가 틀렸을 뿐이었던 게야.
그렇다면 첫 번째, 자기장의 정의 문제는 어떻게 해결이 되겠는가? 사실 이 문제에도 역시 속도합산의 함정이 숨어 있었네. 방금 설명한 길이 수축에 따르면, 그림 2의 두 경우는 결코 동일한 물리 현상이 아닌 게지. 다음 그림 5의 (a)와 (b)를 한 번 보게.

내 이론에 의하면 그림 5야말로 동일한 물리 현상이라네. (a)의 달리는 관찰자가 보기에, 전류를 이루는 양전하는 정지하므로 그 사이 간격이 팽창하여 선밀도 λ+가 작아지게 되고, 반대로 상대 운동을 하게 되는 음전하는 그 간격이 수축하여 선밀도 λ-가 커지게 되니, 관찰자의 눈에는 (b)의 모습과 같아지는 것일세. 그리고 양전하와 음전하 사이의 차이가 알짜 전하량을 만들어 전기력으로써 도선 밖의 전하에 힘을 가하는 것이지. 아울러 아래와 같이 수학을 동원하면 (a)에서의 자기력과 (b)에서의 전기력이 동일한 힘임을 확실하게 확인해, (a)와 (b)에 동일한 물리 법칙이 적용되고 있음을 알 수 있다네.

요컨대, 우리가 보기에 움직이는 전하가 받는 자기력은, 전하의 입장에서 느끼는 전기력이라 할 수 있네. 결국 전기장과 자기장은 같은 물리 현상이었던 셈이지. 참으로 놀라운 발견이 아닌가? 나는 이로써 기존의 뉴턴 역학과 맥스웰의 전자기학 사이의 균열을 봉합하고, 새로운 물리학의 지평을 열었다 자평할 수 있다네.
그리고 실은 내가 특히 자네에게 강조하고 싶은 부분도 첫 번째 자기장의 문제이네. 나는 자기력과 전기력이 서로 동일하지만, 관점의 차이에서 비롯한 다른 표현식임을 밝힌 것이라네. 기억하게. 자신을 기준으로 본 세상에서 벗어나 다른 기준으로 세상으로 보았을 때, 또 다른 진실을 발견할 수 있다네.
여기까지 내가 하고자 하는 말은 다 하였네. 말을 많이 했더니 피곤해지누나. 앞으로 자네의 삶에 건투를 비네.
”
“어..어? 과학신이시여? 과학신이시여! 문제는 풀어 주고 가소서!”
더 이상 돌아오는 대답이 들리지 않았습니다. 그는 그렇게 일방적인 작별 인사와 함께 홀연 떠나 버린 것입니다. 아, 영(靈)이란 원래 그러한 존재인가요. 코페르니쿠스도 그렇고 아인슈타인까지 자신의 업적을 자랑할 뿐이라니. 다시 눈을 뜨기 난감한 순간이었습니다.
(계속)
저자의 다른 글
과학 에세이
● 양자역학, 경제학, 그리고 진화론 (1)● 양자역학, 경제학, 그리고 진화론 (2)
● 교양을 위한 양자역학 (1)
● 교양을 위한 양자역학 (2)
● 여러분이 가장 먼저 배운 제2언어는 무엇입니까?
● 미래에는 음성 언어가 사라질까? (1)
● 미래에는 음성 언어가 사라질까? (2)
● 미치오 카쿠가 말하는 양자 컴퓨터
● 카쿠와 마윈이 말하는 미래
● 종 예외주의 (1) : 들어가며
● 종 예외주의 (2) : 종의 분화
● 종 예외주의 (3) : 이기적인 종
● 종 예외주의 (4-1) : 이타적인 종 ; 정의란 무엇인가
● 종 예외주의 (4-2) : 이타적인 종 ; 도덕적 동물
● 종 예외주의 (5-1) : 이기와 이타의 경계 ; 선과 악의 공존
● 종 예외주의 (5-2) : 이기와 이타의 경계 ; 이기와 이타의 진화 上
● 종 예외주의 (5-2) : 이기와 이타의 경계 ; 이기와 이타의 진화 中
● 종 예외주의 (5-2) : 이기와 이타의 경계 ; 이기와 이타의 진화 下
● 종 예외주의 (5-3) : 이기와 이타의 경계 ; 동전의 양면
● 종 예외주의 (6) : 마치며
● 사고의 코페르니쿠스적 전환 (1)
● 사고의 코페르니쿠스적 전환 (2)
● 사고의 코페르니쿠스적 전환 (3)
● 교양을 위한 양자역학 (1)
● 교양을 위한 양자역학 (2)
● 여러분이 가장 먼저 배운 제2언어는 무엇입니까?
● 미래에는 음성 언어가 사라질까? (1)
● 미래에는 음성 언어가 사라질까? (2)
● 미치오 카쿠가 말하는 양자 컴퓨터
● 카쿠와 마윈이 말하는 미래
● 종 예외주의 (1) : 들어가며
● 종 예외주의 (2) : 종의 분화
● 종 예외주의 (3) : 이기적인 종
● 종 예외주의 (4-1) : 이타적인 종 ; 정의란 무엇인가
● 종 예외주의 (4-2) : 이타적인 종 ; 도덕적 동물
● 종 예외주의 (5-1) : 이기와 이타의 경계 ; 선과 악의 공존
● 종 예외주의 (5-2) : 이기와 이타의 경계 ; 이기와 이타의 진화 上
● 종 예외주의 (5-2) : 이기와 이타의 경계 ; 이기와 이타의 진화 中
● 종 예외주의 (5-2) : 이기와 이타의 경계 ; 이기와 이타의 진화 下
● 종 예외주의 (5-3) : 이기와 이타의 경계 ; 동전의 양면
● 종 예외주의 (6) : 마치며
● 사고의 코페르니쿠스적 전환 (1)
● 사고의 코페르니쿠스적 전환 (2)
● 사고의 코페르니쿠스적 전환 (3)
신경 과학
● 기억이란 실제로 무엇일까?● 마음을 드러내는 방법 : 마음 챙김 명상의 철학과 신경 과학
● 양자 역학이 의식의 본질을 밝혀낼 수 있는 이유
● 신경 가소성 : 내가 나를 보는 방식
● 양자 역학이 의식의 본질을 밝혀낼 수 있는 이유
● 신경 가소성 : 내가 나를 보는 방식



